过滤器阻力计算-一步步教你计算方法
过滤器在空气处理和液体处理系统中起着至关重要的作用,其阻力是影响系统性能的关键因素之一。本文将详细介绍过滤器阻力的定义、计算的基本原理、计算步骤、影响因素以及实际应用,帮助您一步步掌握过滤器阻力的计算方法。
过滤器阻力的定义
过滤器阻力是指空气或液体通过过滤器时所受到的阻力,通常用压降(Pressure Drop)来表示。压降是指流体在通过过滤器前后的压力差,单位通常为帕斯卡(Pa)或毫米水柱(mmH2O)。过滤器阻力是衡量过滤器性能的重要指标之一,直接影响系统的能耗和运行效率。
过滤器阻力计算的基本原理
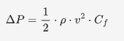
过滤器阻力的计算基于流体力学原理,主要涉及流体的流速、过滤器的结构和材质等因素。过滤器阻力可以通过以下公式计算:

其中:
- P是过滤器的压降(Pa)
- p是流体的密度(kg/m³)
- u是流体的流速(m/s)
- C是过滤器的阻力系数
过滤器阻力计算的步骤
以下是计算过滤器阻力的详细步骤:
第—步:确定流体的密度
根据流体的类型和温度,查找或计算流体的密度。例如,空气在标准状态下的密度约为1.2 kg/m³。
第二步:测量或计算流体的流速
流体的流速可以通过流量计测量或根据系统设计参数计算。例如,可以通过流量(Q)和管道截面积(A)计算流速:

第三步:确定过滤器的阻力系数
过滤器的阻力系数(C)通常由制造商提供,或者可以通过实验测定。不同类型和材质的过滤器具有不同的阻力系数。
第四步:计算过滤器的压降
将流体的密度、流速和过滤器的阻力系数代入公式,计算过滤器的压降:

影响过滤器阻力的因素
过滤器阻力受多种因素影响,主要包括以下几个方面:
- 过滤器材质:不同材质的过滤器具有不同的阻力系数。例如,纤维过滤器的阻力系数通常较高,而金属网过滤器的阻力系数较低。
- 过滤器结构:过滤器的结构设计也会影响其阻力。例如,多层过滤器的阻力通常较高,而单层过滤器的阻力较低。
- 流体流速:流体的流速越高,过滤器的阻力越大。因此,在设计过滤系统时,需要合理控制流速。
- 流体性质:流体的粘度、温度和密度等性质也会影响过滤器的阻力。例如,高粘度流体的阻力通常较大。
- 过滤器的使用时间:随着过滤器的使用时间增加,过滤器表面会积聚颗粒物,导致阻力增加。因此,定期更换和清洁过滤器是保证系统高效运行的重要措施。
过滤器阻力计算的实际应用
过滤器阻力的计算在实际应用中具有重要意义,主要体现在以下几个方面:
- 系统设计:在设计空气处理和液体处理系统时,过滤器阻力是重要的设计参数之一。合理计算和控制过滤器阻力,可以提高系统的能效和运行稳定性。
- 设备选型:在选择过滤器时,需要考虑其阻力特性,选择适合系统需求的过滤器。例如,在高流速系统中,需要选择阻力较低的过滤器;在高精度过滤系统中,需要选择阻力较高但过滤效果更好的过滤器。
- 能耗评估:过滤器阻力直接影响系统的能耗。通过计算过滤器阻力,可以评估系统的能耗水平,优化系统设计,降低运行成本。
- 维护保养:定期计算和监测过滤器阻力,可以及时发现过滤器的堵塞情况,进行清洁和更换,保证系统的高效运行。
通过以上介绍,您可以全面了解过滤器阻力的定义、计算的基本原理、计算步骤、影响因素以及实际应用。在实际操作中,掌握过滤器阻力的计算方法,可以有效提高系统的设计和运行效率,为您的生产和生活提供可靠的保障。
网友还关心:
- 过滤器阻力过大会有什么影响?
过滤器阻力过大会导致系统能耗增加,流体流速降低,影响系统的运行效率和稳定性。同时,过大的阻力可能会导致过滤器损坏,缩短其使用寿命。因此,在设计和使用过滤器时,需要合理控制其阻力。 - 如何降低过滤器的阻力?
降低过滤器的阻力可以通过以下几种方法:选择阻力系数较低的过滤器材质和结构;合理控制流体的流速;定期清洁和更换过滤器,防止颗粒物积聚;优化系统设计,减少不必要的阻力。

